Category: Uncategorized

  • Personal Project Blog Update #2

    Portable Foldable Wooden Laptop Stand: SKRIVA

    Reminder of the Problem I’m Solving

    Most portable laptop stands are either too bulky and annoying to carry every day, or they feel cheap, wobbly, and ugly when made small and foldable. People want the benefits of a stand (better screen height for posture and good airflow to stop overheating), but many just leave them at home because they’re not practical. So we end up using laptops flat on tables in cafés, libraries, or class, which hurts our neck and wrists and makes the laptop run hotter — especially gaming ones.

    (My definition statement hasn’t changed much. I’m still aiming for a slim, foldable wooden stand that’s light, looks nice, has adjustable tilt, good ventilation, and stays stable.)

    I’ve made decent progress since the last update.

    • I finalized the dimensions: base is 32 cm wide × 24 cm deep, top panel is 32 cm wide × 20 cm deep.
    • I also finished the Bill of Materials with links to Home Depot.

    On April 7th I had a check-in with my teacher. We reviewed the CAD and BOM, and my teacher agreed to order the hinges for me (the long piano hinges for the middle folds and the small butt hinges for the tilting connection). So now I’m just waiting for the hinges to arrive so I can start testing the folding and pivoting mechanism.

    What I’ve learned: Small details like hinge recess depth and block placement make a bigger difference than I thought for keeping the folded thickness slim. I also learned that balancing portability, stability, and nice looks at the same time is harder than it seems on paper.

    Challenges

    The biggest challenge has been keeping the folded thickness under 4 cm. The panels, hinges, block, and small gaps all add up quickly. Another challenge is making sure the block pivots smoothly on the axle without wobbling.

    How I’ve dealt with it:
    During the April 7th meeting, my teacher and I decided to switch to the school’s 1/8 inch wood and use the laser cutter. This solves the waste issue and should help with the thickness goal. We’ll test stability carefully with the thinner material.

    Surprises?

    I was surprised by how hard it is to screw the screw through the wood, it took me a while. I didn’t expect that. I also learned that even though the design looks simple, getting the pivot and folding to work nicely together takes more planning than I thought. Wood looks way better than plastic, but it requires more careful cutting and testing.

    Uncertainties

    Not sure if I can build the block helps with tilting angles in time, as well as the different slots, due to the thickness and time restriction.

    Deadline

    I think I can still make the May 1 deadline, but it’s going to be tight now.
    To make sure it happens, I need to:
    Get the hinges from my teacher as soon as they arrive and test the folding.
    Stay focused on the building phase and not spend too much time tweaking small things in CAD.

  • Personal Project Blog Update #1

    Portable Foldable Wooden Laptop Stand: SKRIVA

    Problem

    Most laptop stands that are made to carry around feel cheap, wobbly, and like they’re going to break after a week. I want a stand so my screen is at a better height and my laptop doesn’t get too hot, but a lot of people (including me) just leave them at home because they’re ugly or hard to bring places. That means we end up using laptops flat on tables in cafés, libraries, or class, which hurts our neck and wrists and makes the laptop run hotter, especially gaming or powerful ones.

    Who I’m solving it for

    Students like me who need to carry a stand to school, cafés, libraries, or when I’m traveling. Also anyone with a gaming or powerful laptop who wants better airflow and a good viewing angle at home or on the go, but doesn’t want something huge and clunky.

    Definition Statement A lot of laptop stands are either too big to carry every day or they get wobbly, ugly, and don’t let air flow well when they’re made small. I want to build a slim, foldable wooden stand that’s light, looks nice, has adjustable heights for good posture, keeps the laptop cool, and doesn’t shake around, so people can actually bring it with them and use it wherever.

    Research

    I looked up a few things to make sure this is a real problem and to see what stands are missing.

    Portability issues

    Lots of stands are hard to carry or feel junky when they’re foldable.

    Evidence: Remtek Workplace Buying Guide

    https://remtekworkplace.com/knowledge-hub/laptop-stand-buying-guide/

    They say portable stands are good for travel and working away from home, but a lot of them aren’t stable or strong enough because they’re trying to be light. People end up not taking them because they’re annoying or feel weak.

    That’s why I’m making mine fold in half on both pieces so it gets really slim (3–4 cm thick) and still stays solid.

    Durability and wear

    Foldable stands break or get loose pretty fast, hinges get wiggly, parts bend, cheap stuff scratches or falls apart.

    Evidence: Ace Office Systems blog on pros and cons of laptop stands

    https://aceofficesystems.com/blogs/news/pros-and-cons-of-laptop-stand

    They say portable stands have problems with durability, especially the moving parts like hinges that loosen up or wear out, so they don’t last long.

    That’s why I’m using 12 mm birch plywood and a strong block in the middle with square notches wood lasts longer than plastic and won’t wear out as fast from opening and closing it.

    Ventilation and overheating

    Laptops get hot sitting flat or on bad stands, which makes them slow down and the fans loud.

    Evidence: Ace Office Systems (same link)

    https://aceofficesystems.com/blogs/news/pros-and-cons-of-laptop-stand

    They say one good thing about stands is better airflow underneath, which helps cool the laptop and stops overheating. Solid or closed designs block the vents and make it worse.

    That’s why I’m putting rectangular slots around the edges of the top panel so air can get under the laptop easily.

    Ergonomics and posture problems

    Using a laptop flat makes you hunch over, which hurts your neck and wrists after a while.

    Evidence: Wired article on ergonomic experts

    https://www.wired.com/story/ergonomic-experts-convinced-me-ive-been-using-laptops-all-wrong/

    They say laptops make bad posture because the screen is too low and the keyboard is too high compared to your arms. A stand lifts the screen to eye level and fixes the angle, but lots of portable ones don’t adjust right or hurt your wrists.

    That’s why I’m doing 4-5 different slots so I can change the angle (steep for watching stuff, flat for typing) and a lip so the laptop doesn’t slide.

    Solution

    I’m building a foldable wooden laptop stand out of 12 mm birch plywood. It folds small (aiming for 3–4 cm thick when closed), looks nice with real wood, and has adjustable angles with good airflow.

    What I’m building (main parts):

    • Base: 32 cm wide × 24 cm deep, folds in half down the middle at 12 cm.
    • Top panel: 32 cm wide × 20 cm deep, folds in half at 10 cm, with a 2.5 cm high × 24 cm wide lip in the front (centered) so the laptop doesn’t slide off.
    • Tilting: 4-5 slots on the base (at 6.5 cm, 7.5 cm, 9 cm, 15.5 cm, 17 cm from front), each 4 cm wide and centered. A small block (3.3 cm wide × 7 cm deep × 10 mm thick) attaches to the bottom of the top panel (centered, 3 cm from back edge) with a metal rod that lets it pivot.
    • Ventilation: Cut-out slots around the edges of the top panel so air can flow under the laptop.
    • When folded: The two halves stack together and connect with magnets or a latch so it stays as one piece.

    How I’ll test it

    I’ll check if it actually works for the definition statement with these tests:

    • Portability: Fold it up completely → measure thickness (want 4 cm or less) and weight (want around 600–800 g). See if it fits in my backpack pocket easily.
    • Stability: Put my laptop or 2–4 kg weight on it at every angle → type hard and push side to side → make sure it doesn’t wobble or slide.
    • Adjustable tilt: Measure how high the back lifts at each slot → want 10–25° range (screen at eye level, wrists comfortable). Try typing and watching videos for 15–20 min to see if it feels good.
    • Ventilation: Run a heavy app or game flat on the desk → check temps (using a program like HWMonitor). Do it again on the stand → see if it’s 5–10°C cooler.
    • Looks and feel: Does it look nice on a table? I’ll ask a couple friends: “Would you carry this?” “Does it feel strong and good quality?”

    Progress So Far

    I started with paper sketches, now I have a basic 3D model in Onshape. It’s not finished — just the main idea — but it shows how the parts fit together in real life.

    What’s in the model right now:

    Base panel (32×24×12 mm) with hinge line at 12 cm and 4-5 centered slots (4 cm wide, 5 mm deep) at my depths.

    Top panel (32×20×12 mm) with hinge line at 10 cm and front lip (2.5 cm high × 24 cm wide, centered).

    I made a recessed area at the back edge of the base for the tilting hinges (1.5–2 mm deep so they sit flat and don’t add extra thickness when closed).

    Assembled view:

    Isometric

    Side view

    I haven’t added the block or hinges yet, those are next.

    The CAD makes it easier to see how the block will fit when folded and where the hinges go. Adding the recess was important to keep the whole thing slim when folded.

    Challenges I Foresee

    • Getting the folded thickness to stay under 4 cm including hinges, block, and small gaps add up fast; might have to try 10 mm plywood.
    • Block pivot: Drilling the hole straight through the top panel and lining it up with the block so it moves smooth without wobbling.
    • Cutting the slots exactly 5 mm deep and 4 cm wide in real wood need to be careful with the router or chisel so it doesn’t splinter or go uneven.
    • Hinge recess: Cutting 1.5–2 mm deep pockets exactly so the hinges sit flat (too deep = weak spot, too shallow = bump).
    • Sourcing: Birch plywood is easy to find in Calgary, but if I want to switch to bamboo later, it might be harder to get or cost more.

    Next Steps

    1. Finish the CAD: Add the support block (3.3 cm wide, 7 cm deep, 10 mm thick, centered, 3 cm from back edge) and the axle hole; add the tilting hinges (2–3 small butt hinges, recessed).
    2. Cardboard prototype: Cut base (32×24 cm) and top (32×20 cm) from cardboard, tape the hinge lines, cut the 4-5 slots (4 cm wide, 5 mm deep, centered), make a fake block, and test the tilt and stability with my laptop or some weight.
    3. Source materials: BOM
  • PERSONAL PROJECT- FIRST PITCH

    Definition Statement

    Laptop stands are often too bulky and heavy to carry comfortably, so many students and remote workers leave them at home. Users need a slim, foldable, and aesthetically clean stand that improves ergonomics and airflow without taking up half their backpack.

    Who I Am Solving This Problem For

    This project is designed for students and mobile professionals who frequently work on laptops in cafés, libraries, and other shared spaces. These users carry their laptops daily but often avoid bringing stands because most options are too large or impractical. It also supports individuals who use high-performance or gaming laptops at home and require better passive airflow during extended use.

    Reflection on Multiple Ideas

    Initially, I considered a fixed-angle wooden stand with circular ventilation holes. I also explored a fold-out leg system and a modular stacking design for adjustable height. However, these options either lacked portability or added mechanical complexity. After comparing these ideas, I chose a central-hinge foldable design with a gear-slot height adjustment system. This approach balances portability, adjustability, structural stability, and clean aesthetics while remaining mechanically simple. While many laptop stands already exist, I am creating my own design to improve portability, adjustability, and aesthetics, making it a unique solution.

    Prototype Description

    The prototype will be a foldable wooden laptop stand made of two equal rectangular panels connected by a metal hinge positioned at the center of the base. This allows the stand to fold directly over itself into a compact rectangular slab. The top panel will feature long rectangular ventilation slots lined with metal inserts to enhance passive airflow and durability. Height and tilt will be adjusted using a gear-shaped notched slot system built into the base, where small support blocks can be inserted to hold the stand at different ergonomic angles. A raised front lip and rubber pads will improve stability and prevent slipping. The final prototype will be used for load testing, airflow comparison, ergonomic evaluation, and display.

    Somewhat like this:

    Materials: Lightweight plywood (birch or poplar) for the panels, metal inserts for ventilation, a metal hinge, wooden blocks for adjustment, and rubber pads.

    This prototype will be used for testing portability, folding durability, airflow, and ergonomic tilt

    Step-by-Step Plan for Prototype

    Phase 1 – Final Design & Measurements (Week 1–2: Feb 19 – Mar 3)

    • Decide final dimensions for common laptop sizes.
    • Sketch technical drawings with ventilation slots, hinge placement, and gear-slot system.
    • Learn to space gear-slot notches accurately.
    • Test small cardboard or wood model of gear-slot system for angles.
    • Note: Keep panels thin enough to stay lightweight but strong.
    • Deadline: Mar 3

    Phase 2 – Mechanism Testing (Week 3–4: Mar 4 – Mar 17)

    • Build a small test model of gear-slot adjustment and support blocks.
    • Test stability using a laptop or equivalent weight.
    • Adjust notch spacing or block size if needed.
    • Learn proper hinge alignment for smooth folding.
    • Note: Ensure the overall prototype will be light enough to carry in a backpack.
    • Deadline: Mar 17

    Phase 3 – Panel Preparation (Week 5–6: Mar 18 – Mar 31)

    • Cut two rectangular wooden panels from lightweight plywood.
    • Cut rectangular ventilation slots and install metal inserts.
    • Attach center-mounted metal hinge.
    • Test: Fold and unfold panels to ensure smooth movement.

    Phase 4 – Full Assembly (Week 7–8: Apr 1 – Apr 14)

    • Install gear-slot system and support blocks.
    • Add front lip and rubber pads.
    • Test: Stability with laptops at different tilt angles.

    Phase 5 – Testing & Refinement (Week 9–10: Apr 15 – Apr 24)

    • Test portability (fits in backpack).
    • Test airflow performance vs flat surface.
    • Test folding durability through repeated use.
    • Make refinements as needed.
    • Light sanding and finishing.

    Phase 6 – Final Refinement (Week 11: Apr 25 – Apr 30)

    • Make everything as polished as possible.
    • Conduct final tests for stability, weight, and ergonomic tilt.
    • Ensure prototype is lightweight, visually appealing, and comfortable to carry.

    Summary

    By addressing the problem of bulky, hard-to-carry laptop stands, this project provides a lightweight, foldable stand with adjustable tilt, metal-lined ventilation slots, and a sleek, visually appealing design. It’s aimed at students, mobile professionals, and gamers who want better posture, airflow, portability, and something that looks good while they work or play. Through testing, refining, and careful planning, this prototype will demonstrate a practical, ergonomic solution that improves on existing designs while remaining stylish and easy to carry.

  • PEP-PART II: FINAL REPORT

    PT.1: ABSTRACT

    The goal of this project was to design, build, and test a vehicle capable of moving across terrain similar to Callisto’s, which is covered in craters and rocky ground. Such surfaces make traction, stability, and efficient movement particularly challenging.

    Our final design was a dual-motor tracked vehicle, with each track powered by its own motor. This configuration provided better grip and stability on rough terrain, although the vehicle was not designed for high speed.

    We tested the vehicle on a rocky surface, making it Callisto-like conditions. During the test, we measured how stable it was, how far it could travel, and how efficiently it used battery power.

    PT.2: PROTOTYPE DESIGN

    The final vehicle was a dual-motor tracked design, with one motor powering each track. This configuration was chosen to improve traction and stability on uneven, rocky terrain. The tracks increased ground contact compared to wheels, helping the vehicle move more reliably across rough surfaces.

    The battery and breadboard were taped on top of the chassis for accessibility and ease of wiring. During early testing, this placement caused stability issues due to uneven weight distribution. To address this issue, additional mass was added and repositioned to better center the vehicle’s weight. This adjustment reduced tipping and improved overall stability during testing.

    The prototype was built using a combination of CAD design, 3D-printed components, and available classroom materials

    21 segments per motor connected by a metal axle.

    The inner & outer track guards of the track, connecting to motor and prevent track from falling out.

    The gear of the track, it connects the track on each side, making sure they run smoothly. Placed inside the track guards.

    Secured the motors tightly to prevent movement or vibration.


    Assembly:

    Although a CAD-designed chassis was created, time constraints meant the first test used a temporary wooden board chassis. Motors and tracks were mounted directly using screws, allowing testing while maintaining design plans.

    The vehicle did not use any programming or control system. Once powered on, both motors ran continuously at the same input voltage, causing the vehicle to move forward automatically without steering or user control.

    PT.3: SETUP & TESTING

    Testing was conducted on gravel surfaces to simulate rough terrain similar to the surface of Callisto. Three test runs were recorded prior to the official test day on a gravel road behind the field house, and two additional test runs were recorded on the official test day using a class-prepared gravel setup.

    Three runs on a gravel road behind the field house. The vehicle moved relatively straight, with minor turning. These trials demonstrated that the tracked design could reliably navigate limited obstacles.

    Video 1, Video 2 & Video 3: Pre-Test Day Trials:

    https://drive.google.com/drive/folders/12JbiUa6gIkjcTSLkZWJQQ0FrV884N7K9

    https://drive.google.com/drive/folders/12JbiUa6gIkjcTSLkZWJQQ0FrV884N7K9

    https://drive.google.com/drive/folders/12JbiUa6gIkjcTSLkZWJQQ0FrV884N7K9

    Two runs on a class-prepared gravel surface with more rocks and uneven sections. The vehicle showed a significantly greater leftward turn during motion. Unequal traction between tracks, combined with uneven weight distribution, contributed to this drift. [clarified and removed repetitive phrasing]

    Video 4 & Video 5: Official Test Day Trials:

    https://drive.google.com/drive/folders/12JbiUa6gIkjcTSLkZWJQQ0FrV884N7K9

    https://drive.google.com/drive/folders/12JbiUa6gIkjcTSLkZWJQQ0FrV884N7K9

    Across all trials, the vehicle operated autonomously and remained stable without tipping over. The differences observed between the pre-test and test-day trials demonstrate how changes in surface conditions can significantly influence vehicle performance and movement accuracy.

    PT.4: RESULTS & ANALYSIS

    Test results:

    During testing, electrical measurements were recorded to estimate the vehicle’s energy input. The battery voltage remained stable at approximately 7.5 V while the vehicle was running. A current reading of 0.75 A was measured briefly in series with the motors. The wire used for this measurement melted shortly afterward due to the high current, so further measurements were not possible. Because motors typically draw more current on rough terrain, the actual electrical power input during outdoor tests was likely equal to or greater than this value.

    The vehicle traveled approximately 2.76 m, determined using frame-by-frame video analysis. Indoor tests on a flat, obstacle-free surface allowed the vehicle to move nearly perfectly straight over this distance. The indoor test duration was 1.57 s, giving an average speed of approximately 1.76 m/s.

    Outdoor tests on gravel showed a reduced average speed of approximately 0.40 m/s, highlighting the impact of surface roughness on motion efficiency.

    Using these measurements, the electrical power input to the vehicle was calculated using the formula:
    P​=V×I
    P​=7.5×0.75=5.625W

    This power input value was used consistently for both flat and rocky surface efficiency estimates, since accurate current measurements under load were not possible.

    Efficiency calculation (flat surface):

    Video used for analysis:

    https://drive.google.com/drive/folders/12JbiUa6gIkjcTSLkZWJQQ0FrV884N7K9

    Speed vs time graph

    Distance (X-Position) vs Time graph

    Mass: m=1.1849 kg

    Average speed: Vavg​≈1.76m/s

    Electrical power input: Pin=5.625W

    Test duration: t=3s

    Mechanical energy output:

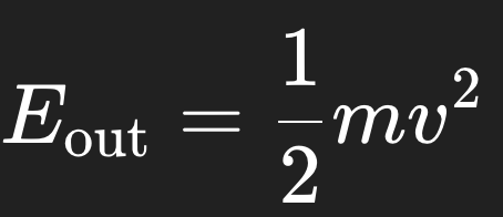
    Eout​==0.5×1.1849×(1.76)²≈1.835J

    Total input energy:

    Ein​=5.625×3=16.875J

    Efficiency:

    Efficiency: (1.835 / 16.875) × 100 ≈ 10.9%

    Efficiency calculation (rocky surface):

    Speed vs Time graph

    Distance (X-Position) vs Time graph

    Video used for analysis:

    https://drive.google.com/file/d/18VIEOl-ovop75YhsUAK9rtJ7R12ZKWf6/view?usp=sharing

    Mass: m=1.1849 kg

    Average speed: Vavg≈1.67m/s

    Electrical power input: Pin=5.625 W

    Test duration: t=3s

    Mechanical energy output:

    Eout=0.5 × 1.1849 × (1.67)² ≈ 1.65 J

    Total input energy:

    Ein​=5.625×3.0≈16.875J

    Efficiency:

    Efficiency: (1.68 / 16.875) × 100 %≈ 9.8%

    Analysis:

    Indoor tests provided a baseline for the vehicle’s performance under ideal conditions, while outdoor tests demonstrated how uneven terrain significantly reduces speed and efficiency. The consistent leftward drift observed outdoors highlights the importance of precise weight distribution and equal traction between tracks.

    While kinetic energy was used as a simplified measure of mechanical output, this model does not account for energy lost to rolling resistance or deformation, meaning the calculated efficiencies represent upper-bound estimates.

    PT.5: CHANGES TO BE MADE

    Conclusion:

    The dual-motor tracked vehicle can move on its own across rough terrain and provides basic stability and traction. However, its performance is very sensitive to weight distribution, surface conditions, and friction. In outdoor tests, the vehicle tended to drift left and had some trouble on uneven sections, while indoor tests gave a more accurate measure of its speed. Efficiency calculations show that only about 10% of the electrical energy was actually converted into mechanical motion, with most of the rest lost to friction, slippage, and vibration.

    Based on these observations, several design changes could improve performance:

    Weight distribution: Reposition the battery and any added weight to balance the chassis and reduce leftward drift.

    Tracks: Add rubber strips to improve traction on rough surfaces. Ensure track tension is adjustable to prevent slipping or derailing.

    Chassis: Build a proper chassis instead of using a wooden board to improve stability and durability.

    Suspension: Add a basic suspension system to help all tracks maintain contact with uneven terrain.

    Electrical system: Use thicker wires and secure connections to handle the current drawn by the dual motors safely.

    Implications for Real-Life Use:

    The vehicle works well on mostly flat or gently uneven surfaces, but its performance is highly affected by weight balance, friction, and the type of terrain. On rough or unpredictable surfaces, it may drift, slip, or stall unless the weight and track contact are optimized. Efficiency will generally be lower on rough surfaces, because more energy is lost to friction and slippage.

    Takeaway:

    To make the vehicle reliable in real-life conditions, it would need better weight balance, stronger track grip (like rubber inserts), and perhaps a simple suspension system. The electrical connections should also be reinforced to handle sustained current safely. With these adjustments, the vehicle could move across uneven terrain much more consistently while staying stable and efficient.

  • PEP-Part I: Callisto

    What planet did my group choose and why?

    Our group chose Callisto, one of Jupiter’s largest moons. It is covered in craters and ice, and its surface hasn’t changed much in billions of years (Schenk, 1995). Because it is far from Jupiter’s strong radiation, Callisto is safer for humans than some other moons, like Europa or Io (NASA Science, n.d.).

    Scientists think there may be a subsurface ocean under Callisto’s icy surface, which could contain salts and chemicals that might support tiny life forms (Khurana et al., 1998). Its stable surface and relatively calm environment make it an excellent place for science research, exploring resources for human use, and for humans could live.

    What opportunities does Callisto offer?

    • Craters and Surface History
      Callisto has over 1,000 craters larger than 10 km(Schenk, 1995). These craters are like a time capsule, saving information about asteroid and comet impacts that happened billions of years ago. By studying them, scientists can learn about the formation and changes of the Solar System.
    • Water and Ice Resources
      About 50% of Callisto’s surface is water ice (NASA Science, n.d.). This ice could be used for drinking water, oxygen production, or even hydrogen fuel, making it a valuable resource for long-term human habitation.
    • Chemical Composition
      Galileo spacecraft spectrometers detected carbon dioxide (~10^-6 bar), sulphur dioxide (~10^-7 bar), and small amounts of organic compounds on the surface (Hibbitts et al., 2000; McCord et al., 1997). These chemicals provide clues about the moon’s chemistry and could support microbial life in its subsurface ocean.
    • Gravity and Movement
      Callisto’s surface gravity is only 0.126 g which is roughly 12% of Earth’s gravity (Zimmer et al., 2000). This means a person weighing 70 kg on Earth would weigh just about 8.8 kg on Callisto. Low gravity makes walking and using tools more difficult, but it also makes transporting heavy equipment and moving large ice blocks easier, which could be helpful for building habitats or exploration bases.

    Challenges for Humans

    • Extreme Cold: Average surface temperature is about -139°C (-218°F) (NASA Science, n.d.). This requires heated habitats and suits for human activity.
    • Thin Atmosphere: Callisto has almost no atmosphere, only a tiny amount of CO₂. Humans must live in pressurized habitats and wear suits to breathe and stay safe.
    • Rough Terrain: Craters, ridges, and fractured ice make the surface difficult to drive on, requiring specially designed vehicles (Schenk, 1995).
    • Low Gravity Effects: Muscles and bones weaken in low gravity, so habitats need exercise areas and routines to maintain health (Zimmer et al., 2000).

    Vehicles and Habitats

    • Rovers and Transport: Vehicles need to be light, stable, and capable of moving on ice. Hovercraft or walkers may be more practical than traditional wheels (NASA Jet Propulsion Laboratory, n.d.). However it couldn’t be too light. Engineers would need to design it with a low center of gravity and maybe wide, flexible feet or treads to spread its weight. They might also add anchoring spikes or adjustable weights on the side to help it “stick” onto the terrain when moving or drilling.
    • Thermal Protection: Engines, batteries, and pipelines need insulation or heating to operate in the extreme cold.
    • Habitat Design: Homes could be buried underground for protection from cold, and radiation. Interiors need handholds, exercise equipment, and low-gravity design adaptations.

    How Humans Could Survive on Callisto

    Living on Callisto would be challenging but possible with the right technology. With almost no atmosphere and constant radiation from Jupiter, habitats would need to be underground or inside thick ice. The ice could also be melted for water and oxygen, reducing supplies from Earth.

    Sunlight is weak, it is only 1/27th of Earth’s, so nuclear power would be the main energy source. Surface temperatures around –140 °C mean heated suits and vehicles are essential. Low gravity (1/8th of Earth’s) makes movement easier but can weaken muscles and bones, so daily exercise would be important.

    How We Know About Callisto

    Most of what scientists understand about Callisto comes from two major NASA missions: Voyager and Galileo.

    • Voyager 1 and 2 (1979)
      These spacecraft took the first detailed photos of Callisto’s surface, showing its huge craters, icy crust, and very old terrain. The images and mission data are publicly available through NASA’s Jet Propulsion Laboratory
    • Galileo Orbiter (1995–2003)
      Galileo gave scientists much deeper information using its scientific instruments:
    • Magnetometer: Detected changes in Jupiter’s magnetic field near Callisto, which suggested a subsurface ocean (Khurana et al., 1998; Zimmer et al., 2000).
    • Spectrometers: Found CO₂, SO₂, and organic molecules frozen in the surface ice (McCord et al., 1997; Hibbitts et al., 2000).
    • Surface Mapping: Helped scientists identify over 1,000 large craters and understand Callisto’s geologic history (Schenk, 1995).

    APA references

    Schenk, P. M. (1995). The geology of Callisto. Journal of Geophysical Research, 100(E9), 19011‑19022. https://ntrs.nasa.gov/citations/19970027091

    Khurana, K. K., Kivelson, M. G., Stevenson, D. J., Schubert, G., Russell, C. T., Walker, R. J., & Polanskey, C. (1998). Induced magnetic fields as evidence for subsurface oceans in Europa and Callisto. Nature, 395(6704), 777–780. https://www.nature.com/articles/27394

    Zimmer, C., Khurana, K. K., & Kivelson, M. G. (2000). Subsurface oceans on Europa and Callisto: Constraints from Galileo magnetometer observations. Icarus, 147(2), 329–347. https://www.sciencedirect.com/science/article/abs/pii/S001910350096456X?via%3Dihub

    McCord, T. B., Carlson, R. W., Smythe, W. D., Hansen, G. B., Clark, R. N., Hibbitts, C. A., et al. (1997). Organics and other molecules in the surfaces of Callisto and Ganymede. Science, 278(5336), 271‑275. https://www.science.org/doi/10.1126/science.278.5336.271

    Hibbitts, C. A., Schultz, P. H., et al. (2000). Distributions of CO₂ and SO₂ on the surface of Callisto. Journal of Geophysical Research: Planets, 105(E6), 15,255‑15,273. https://agupubs.onlinelibrary.wiley.com/doi/10.1029/1999JE001157

    NASA Jet Propulsion Laboratory. (n.d.). View of Callisto from Voyager and Galileo. NASA / JPL. https://www.jpl.nasa.gov/images/pia01055-view-of-callisto-from-voyager-and-galileo/

    NASA Science. (n.d.). Callisto facts. NASA. https://science.nasa.gov/jupiter/jupiter-moons/callisto

    Use of AI

    For this project I chose to use ChatGPT to help me with my research about Callisto. It helped me find reliable sources, summarize scientific information, and design a concept for an exploration vehicle.

  • ROBOTICS PROJECT

    INTRO

    For this robotics assignment, I designed and built a motion-activated automatic door using Arduino Uno, PIR motion sensor, and servo motor. The goal of the project was to demonstrate core Arduino skills such as circuit building and coding, while creating a functional robotic device that reacts to human movement. I created and tested the circuit virtually using Tinkercad before attempting real life assembly.

    OVERVIEW

    The project simulates an automatic door that opens when a person approaches. When the PIR sensor detects motion, it sends a signal to the Arduino, which then activates the servo motor to open the door. After a three-second delay, the servo returns to its original position, closing the door.

    CODE

    #include <Servo.h>
    
    Servo doorServo;     
    int pirPin = 2;        
    int pirState = LOW;   
    
    void setup() {
      doorServo.attach(9);   
      pinMode(pirPin, INPUT); 
      doorServo.write(0);   
    }
    
    void loop() {
      int motionDetected = digitalRead(pirPin);
    
      if (motionDetected == HIGH && pirState == LOW) {
        doorServo.write(90); 
        pirState = HIGH;
        delay(3000);         
        doorServo.write(0); 
        pirState = LOW;
      }
    
      delay(200); 
    }
    

    CODE BREAKDOWN

    #include <Servo.h>
    
    Servo doorServo;       
    int pirPin = 2;        
    int pirState = LOW;    
    

    This section includes the servo library, which allows the Arduino to control servo motors. It creates a servo object called doorServo for controlling the door. pirPin defines which pin the PIR sensor is connected to, and pirState keeps track of whether motion has been detected, helping to prevent the door from repeatedly opening when motion is continuous.

    void setup() {
      doorServo.attach(9);   
      pinMode(pirPin, INPUT);
      doorServo.write(0);    
    }

    In the setup() function, the servo is attached to pin 9, which will control the door. The PIR sensor pin is set as an input so the Arduino can read motion detection signals. Finally, doorServo.write(0) ensures the door starts in the closed position when the program begins.

    void loop() {
      int motionDetected = digitalRead(pirPin);
    
      if (motionDetected == HIGH && pirState == LOW) {
        doorServo.write(90);  
        pirState = HIGH;
        delay(3000);          
        doorServo.write(0);   
        pirState = LOW;
      }
    
      delay(200); 
    }

    The loop() function constantly reads the PIR sensor with digitalRead(pirPin). If motion is detected (motionDetected == HIGH) and the door is not already open (pirState == LOW), the servo rotates to 90° to open the door. The program waits for 3 seconds before closing the door by returning the servo to 0°. The pirState variable prevents repeated triggering while motion continues, and the delay(200) at the end prevents jitter from rapid sensor signals.

    BILL OF MATERIALS (BOM)

    ComponentQuantityFunction
    Arduino Uno1Microcontroller board
    PIR Motion Sensor1Detects motion (input)
    Servo Motor 1Controls door movement (output)
    Jumper Wires6Electrical connections

    VIRTUAL PROTOTYPE

    I used Tinkercad to build the first version of the circuit to ensure both the wiring and code worked properly before physical assembly.

    The circuit works as follows:

    • The PIR sensor detects motion and outputs a digital HIGH signal on pin 2 when movement is detected.
    • The servo motor receives control signals from pin 9 to rotate between the closed (0°) and open (90°) positions.
    • The Arduino powers and controls both components.

    VIRTUAL DEMONSTRATION

    Physical Prototype

    I went ahead and built the real-life version of the door with the Arduino, servo, and button. Everything was connected exactly like in the virtual Tinkercad version, but when I tried to upload the code, it just wouldn’t work.

    The problem was with my Mac, the Arduino IDE couldn’t detect any ports, so the board didn’t respond. Because of that, I couldn’t test the servo in real life. Even though it’s built and wired correctly, I could only fully test it in Tinkercad.

    USE OF AI

    I used AI mainly to help with the code and clear up a few things I wasn’t sure about. It gave me quick explanations and helped me fix mistakes faster. Overall, it made the project easier to understand and finish.

    SUMMARY

    This project was especially useful because it taught me things I hadn’t learned in the robotics courses I took before. I learned how to read sensor input with digitalRead(), control a servo with servo.write(), and manage timing using delay(). Even though I couldn’t upload the code to a real Arduino, running the project in Tinkercad helped me understand how everything works together.

  • CAD PROJECT

    For this project, I designed a wheel assembly in Onshape as part of a CAD assignment.

    For my design, I am modeling realistic car wheels and an axle, but simplified for this project. It is not a full car or engine just the wheel system. The assembly includes a center disc, wheel rim with brake disc, tire, and axle, and later I copied the wheel to put two wheels on the same axle, allowing me to test rotation of the wheel. The parts should fit together logically, look realistic, and spin properly in the assembly, but they don’t need to handle real forces or loads.

    PT1: CENTER DISC

    The first part I designed was the center disc, a circular cover that fits into the center opening of the wheel rim.

    –The circular shape of the disc with a slight dome.

    –An isometric view of the disc.

    –Mechanical drawing of the disc.

    The center cap disc works well and fits properly, but it’s a bit small compared to the rest of the wheel. Making it larger would help it fill the hub better and make the wheel look more balanced overall. A slightly bigger disc would also be stronger for 3D printing, because thin edges can easily break or warp during printing or handling.

    PT2: WHEEL RIM

    The second part I designed was the wheel rim, which serves as the main structural component of the wheel, and the brake disc, positioned inside the rim near the hub.

    –The front view of the wheel rim showing the design and the brake.

    –The isometric view of the wheel rim, and this angle clearly shows the brake inside the rim.

    –The mechanical drawing of the wheel rim.

    The wheel rim and brake came out looking pretty solid, and they fit together well in the assembly. I like how the cutouts make the rim look realistic, but I think the spacing could be adjusted a bit to make it feel stronger and more balanced. The brake disc lines up nicely with the hub, but it might look better if it were slightly thicker to match the proportions of the rim.

    PT3: TIRE

    The third part I designed was the tire, which wraps around the wheel rim and provides the interface between the wheel and the ground.

    –The front view of the tire.

    –The isometric view of the tire.

    –The mechanical drawing of the tire.

    Putting everything we have so far together…

    The wheel…

    PT4: AXLE

    The final part I designed was the axle, which passes through the center of the wheel and connects the assembly to the rest of the mechanism.

    –Side view of the axle.

    –Isometric view of the axle.

    –The mechanical drawing of the axle.

    The axle functions well and holds the wheel together properly, but it feels a little long compared to the rest of the assembly. Shortening it slightly could make the overall design look cleaner and more compact. The step-downs help with alignment, but maybe adding some small grooves or visual details could make it look more realistic.

    PT5: ASSEMBLY

    The assembly combines all the components: center disc, wheel rim with brake, tire, and axle. After completing the first wheel, I duplicated it so that there are two wheels on the same axle

    –The axle passes through the hubs of both wheels, keeping them aligned and in position.

    The two wheels are spaced evenly on the axle, allowing proper rotation without interference.

    –Mechanical drawing of the assembly

    The assembly turned out really well, wheels spin smoothly, everything fits neatly, and the design looks solid. Duplicating the wheel was simple but effective, and seeing them rotate together makes the assembly feel complete and polished.

    PT6: CONCLUSION

    The wheel project turned out really well. Each part, the center disc, wheel rim with brake, tire, and axle, they fit together neatly, and duplicating the wheel to create two on the same axle works smoothly. The wheels rotate properly, and the assembly demonstrates how all the components interact in a functional system. While some details, like the size of the center disc or spacing of the rim cutouts, could be improved, the overall design is realistic, balanced, and visually appealing. This project allowed me to practice all core CAD skills such as sketching, extruding, assembling, creating mechanical drawings, and generating a BOM.

  • Coding project

    Link to code: https://colab.research.google.com/drive/1zRVT20MhXBPmbU2OTtkjhJy_xtmiKGSi?usp=sharing

    I am new to coding, so for my first project, I chose to create a simple Rock, Paper, Scissors game. This game was a good way for me to practice the basics of Python, such as functions, loops, and conditional statements. I also wanted to make sure the program was user-friendly, so I added clear messages, error checking, and a replay option to make it easy to use.

    -flow chart of the code

    PT.1: FUNCTIONS

    def play_rock_paper_scissors():

    When the game begins, it prints a welcome message to introduce the game and let the player know they will be playing against the computer.

    PT.2: INTRODUCTION AND LOOP

     print("   Let's Play Rock, Paper, Scissors!   ")
        print("You will play against the computer.")
    
        while True:

    When the game begins, it prints a welcome message to introduce the game and let the player know they will be playing against the computer.
    Next, I set up a loop using while True, which repeats the game over and over until the player decides to stop. This way, the player can play multiple rounds without restarting the program.

    PT.3: PLAYER CHOICE

            player_choice = input("Enter your choice (rock, paper, or scissors): ").lower()
    
            if player_choice not in ["rock", "paper", "scissors"]:
    
            print("Invalid choice! Please type rock, paper, or scissors.")
    
            continue

    The input() part pauses the game and waits for the player to type something. The program asks the player to type rock, paper, or scissors. I added .lower() so it works even if the player types capital letters like “Rock.”
    If the player types something invalid (like “banana”), the program prints a warning and restarts the round. This prevents the game from crashing and keeps it friendly.

    PT.4:COMPUTER CHOICE

            options = ["rock", "paper", "scissors"]
            computer_choice = random.choice(options)

    Here, options is a list that stores the three possible choices. random.choice(options) picks one of them randomly. This makes the computer’s choice fair and unpredictable.

    PT.5: DISPLAYING CHOICES

        print(f"You chose: {player_choice}")
        print(f"The computer chose: {computer_choice}")

    These lines show the player what they chose and what the computer chose, so the player can clearly see both sides before the winner is announced.

    PT.6: DECIDING THE WINNER

            if player_choice == computer_choice:
                print("It's a tie! 🤝")

    The if statement checks a condition. If it’s true, Python runs the code inside that block. This line checks if the player and the computer chose the same thing. If they did, it prints “It’s a tie!” If they didn’t, Python moves to the next check.

    elif (player_choice == "rock" and computer_choice == "scissors") or \
                 (player_choice == "scissors" and computer_choice == "paper") or \
                 (player_choice == "paper" and computer_choice == "rock"):
                print("You win! 🎉")


    elif stands for “else if.” It gives another condition to check if the previous if (or another elif) was false.
    This line is checked only if the if condition wasn’t true (so it wasn’t a tie). The program looks at all the situations where the player would win. If any of these are true, it prints “You win!”

            else:
                print("The computer wins! 💻")


    The else statement is the catch-all. It runs only if none of the previous if or elif conditions were true.
    This means if it wasn’t a tie (if) and the player didn’t win (elif), then the computer must have won. It doesn’t need a condition because it automatically handles all remaining possibilities.

    PT.7: PLAY AGAIN OPTION

            play_again = input("Do you want to play again? (yes/no): ").lower()
    
            if play_again != "yes":
                break

    The first line asks for input and converts it to lowercase so that “Yes” or “YES” also works. The second line checks if the player typed anything other than “yes.” If they did, the break command stops the loop and ends the game.

    PT.8: ENDING THE GAME

        print("Thanks for playing! Goodbye!")

    When the player decides to stop, the program prints a goodbye message to signal the end of the game.

    PT.9: RUNNING THE FUNCTION

    play_rock_paper_scissors()

    This line is important because it actually starts the game; without it, Python would just know the instructions inside the function but would never run them, so the player wouldn’t see or play the game.

    Reflection:

    In summary, I think I did a great job on this project. Even though it is a simple game, it is fun and interactive, and I am proud of creating it. This project helped me practice basic coding skills like functions, loops, variables, and conditional statements, and it taught me how to make a program user-friendly and responsive to input. It gives me confidence as a beginner in coding.

  • Hello world!

    Welcome to User’s blog Sites. This is your first post. Edit or delete it, then start writing!